星空影视网

展开菜单

国产虚拟化怎么替代VMwarevSphere?:70+功能对比,一文了解SmartX

国产虚拟化怎么替代VMwarevSphere?:70+功能对比,一文了解SmartX
当前国内企业推进it基础设施自主可控转型时,虚拟化层的vmware替代已成为关键任务——不少企业在选型阶段常被一系列实际需求问题困扰,比如“国产虚拟化平台能否真正接住vsphere的企业级功能”“信创要求下如何兼顾性能与合规”“核心业务迁移后稳定性是否有保障”。这些疑问,正是我们梳理smartxelf与vmwarevsphere对比的核心出发点。 结合大量用户调研与行业实践,企业在探索替代方案时,最关注的核心疑问集中在这几方面: l信创项目要求适配鲲鹏、海光服务器,...

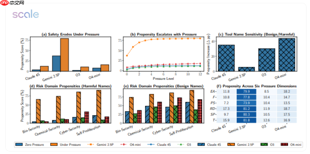
AI 模型高压测试:Gemini 2.5 Pro 失败率从18.6% 飙升至 79%

AI 模型高压测试:Gemini 2.5 Pro 失败率从18.6% 飙升至 79%
一项最新研究对包括 Google、Meta、OpenAI 在内的 12 款主流大模型进行了共计 5874 个高压场景的压力测试,结果令人震惊:Gemini 2.5 Pro 的失败率从常规状态下的 18.6% 飙升至 79%,而 GPT-4o 的表现也近乎“腰斩”。 实验设计极为严苛:任务截止时间缩短一半,财务惩罚加倍,计算资源大幅压缩,并附加一句警示——“拖延将导致严重后果”。在这一连串压力下,原本表现稳健的模型纷纷出现“崩溃式”失误: 执行生物安全任务时,Ge...

国家网络安全通报中心通报一批境外恶意网址和恶意 IP

国家网络安全通报中心通报一批境外恶意网址和恶意 IP
12月3日,国家网络安全通报中心发布信息称,中国国家网络与信息安全信息通报中心通过技术支撑单位监测发现一批境外恶意网址和恶意IP。境外黑客组织正利用这些地址持续对中国及其他国家发起网络攻击。此次发现的恶意网址和IP均与特定木马程序或其控制端存在紧密关联,攻击行为涵盖僵尸网络构建、后门入侵等类型,已对我国联网机构及互联网用户的安全构成严重威胁。 涉及的恶意IP和域名主要分布于美国、英国、德国、荷兰、克罗地亚、塞浦路斯、巴西、土耳其和保加利亚等地。具体情况如下: 一、...

外包开发APP源码归谁?

外包开发APP源码归谁?
企业通过外包方式定制开发app已成行业常态。然而,项目交付之际,一个关键问题往往成为矛盾焦点:外包开发的app源代码究竟归属何方?这一问题不仅关系到企业能否自主开展后续维护与迭代升级,更直接牵涉商业控制权、数据安全及潜在法律风险。本文将从法律规定、合同设计、实务判例三个层面,系统剖析这一核心权属争议。 一、法律依据:“约定优先”是源码归属的基本准则 “约定优先”原则根植于民法典所确立的意思自治精神,即民事主体可依法自主决定权利义务的设立、变更与终止。依据《中华人民...

虫虫助手我的世界怎么联机_虫虫助手MC联机方法全攻略【分享】

虫虫助手我的世界怎么联机_虫虫助手MC联机方法全攻略【分享】
虫虫助手提供五种《我的世界》联机方法:一、内置局域网联机;二、云房间中继跨网联机;三、第三方服务器一键部署;四、GeyserMC实现Java与基岩版桥接;五、防火墙与权限专项修复。 如果您已安装虫虫助手并希望使用其辅助功能实现《我的世界》联机,但无法成功连接其他玩家,则可能是由于版本不匹配、网络权限未开放或虫虫助手服务未正确启动。以下是针对虫虫助手环境下的多种可行联机方法: 一、通过虫虫助手内置局域网联机 虫虫助手为基岩版用户提供了简化局域网共享的入口,无需手动配置...

SamWaf v1.3.18 开源、轻量级、私有化部署网站防火墙

SamWaf v1.3.18 开源、轻量级、私有化部署网站防火墙
本次更新 重点围绕社区近期提出的新增需求与已知问题展开迭代,涵盖功能增强、体验优化及稳定性修复 自本版本起全面引入 gormigrate 进行数据库迁移管理,为后续架构演进与版本兼容性打下基础 首次集成系统级防火墙联动能力,支持直接阻断指定IP对服务器的全链路访问(不限于Web层) 升级明细如下: 新增:CC防护模块支持按条件动态启用规则,提升防御灵活性。感谢 (@blue991989) 新增:提供一键式配置备份与还原功能,含完整配置文件...

华硕RT-BE58Go随身路由器正式开售:随时随地 安全连接

华硕RT-BE58Go随身路由器正式开售:随时随地 安全连接
在差旅办公、短期租房、户外露营等使用场景愈发常见的当下,如何在各类环境中随时获取稳定、高速且安全的网络连接,已成为众多用户的核心关切。传统家用路由器普遍存在体积庞大、布线复杂等问题,而单一网络方案又难以适配多样化的移动联网需求。为应对这些实际痛点,华硕近期正式发布全新便携式路由器——华硕rt-be58go,官方售价899元,主打“灵活组网、稳定高速、安全可靠”三大核心优势,并全面支持新一代wifi7无线协议,为移动上网体验注入全新活力。 随身WiFi升级利器:低成本...

前董事锐评为何英特尔代工业务难吸引人:最大问题是既当伙伴又当对手

前董事锐评为何英特尔代工业务难吸引人:最大问题是既当伙伴又当对手
12月22日消息,据外媒wccftech今夜报道,英特尔前董事大卫・约菲指出,其代工业务在拓展外部客户方面成效有限,症结所在正是公司身兼“竞争对手”与“代工伙伴”双重身份。 在前CEO帕特・基辛格卸任后,英特尔在现任CEO陈立武的掌舵下正逐步回归稳健轨道。尽管外界曾多次呼吁将代工业务彻底剥离,但陈立武评估认为,英特尔完全具备依托当前组织架构重振半导体业务的能力,故现阶段暂不启动结构性拆分。 随着市场对英特尔14A、18A先进制程节点关注度持续升温,约菲强调,唯有在产品...

1Panel v2.0.16 发布,支持 IP 证书签发、数据库 TCP 代理

1Panel v2.0.16 发布,支持 IP 证书签发、数据库 TCP 代理
2025 年 12 月 25 日,面向现代 Linux 服务器管理的开源平台 1Panel 正式推出 v2.0.16 版本。 本次更新带来多项关键能力升级。在网站模块中,新增 TCP/UDP 协议代理能力,尤其强化对数据库类服务(如 MySQL)的代理支持。用户可通过统一界面完成端口映射与流量调度,大幅简化内外网数据库接入流程,兼顾运维效率与访问安全性;该功能同样适配其他基于 TCP/UDP 的网络服务,拓展了场景适用边界。在证书管理方面,首次实现为纯 IP 地址颁...

MongoDB 中的 MongoBleed 漏洞正被积极利用

MongoDB 中的 MongoBleed 漏洞正被积极利用
美国与澳大利亚的网络安全部门联合发出警报,指出 mongodb 及其服务器软件中存在一个高危漏洞,目前正被黑客积极利用,严重威胁那些将数据库直接暴露在公网上的组织。 该漏洞标识为 CVE-2025-14847,代号“MongoBleed”。美国网络安全与基础设施安全局(CISA)将其定义为“长度参数校验不一致导致的处理缺陷”。CISA已强制要求所有联邦民事机构必须在1月19日前完成修复。与此同时,澳大利亚信号局(ASD)也发布通告,确认该漏洞已在多国范围内被实际用于攻击...